O objectivo da disponibilização de exercícios é estimular e guiar o estudo. As soluções encontram-se p. ex. nos apontamentos de Bioquímica metabólica e em qualquer bom livro de Bioquímica. O fornecimento das soluções é contrário a esse objectivo. No entanto, se tiver dúvidas específicas (p. Ex: "na questão x hesito entre a resposta "a" e a "b" por esta razão ou aquela.."), não hesite em escrever...

1.   Quando [S] = 2×KM, a velocidade de uma reacção enzimática é aproximadamente:

a)   0.1*Vmax.

b)   0.3*Vmax.

c)   0.7*Vmax.

d)   0.9*Vmax.

 

2.   Quando [S] =8×KM, a velocidade de uma reacção enzimática é aproximadamente:

e)   0.1*Vmax.

f)   0.5*Vmax.

g)   0.7*Vmax.

h)   0.9*Vmax.

 

3.   Quando [S] = 1/7×KM, a velocidade de uma reacção enzimática é aproximadamente:

i)   0.1*Vmax.

j)   0.3*Vmax.

k)   0.5*Vmax.

l)   0.9*Vmax.

 

4.   Quando [S] =0.5×KM, a velocidade de uma reacção enzimática é aproximadamente:

a)   0.1*Vmax.

b)   0.3*Vmax.

c)   0.5*Vmax.

d)   0.9*Vmax.

 

5.   As enzimas aumentam a velocidade das reacções porque

a)   aumentam a concentração do substrato

b)   diminuem a energia de activação

c)   competem com o substrato

d)   hidrolizam ATP

e)   hidrolizam o subtrato

 

6.   Qual das seguintes afirmações sobre enzimas é falsa?

a)   Enzimas são moléculas que actuam como catalisadores.

b)   As enzimas são específicas.

c)   As enzimas fornecem energia para aumentar a velocidade das reacções.

d)   A actividade enzimática pode ser regulada.

 

7.   A interacção entre uma enzima e uma molécula de substrato:

a)   é uma associação temporária.

b)   é estabilizada por uma ligação covalente entre a enzima e o substrato.

c)   muda as características da enzima de forma permanente.

d)   causa mudanças mútuas de estrutura.

 

8.   O mecanismo das proteases da serina não inclui:

a)   desprotonação de um resíduo de serina

b)   quebra da ligação peptídica do substrato

c)   estabilização do estado de transição por pontes de hidrogénio

d)   oxidação do substrato

 

9.   Um inibidor competitivo de uma enzima normalmente:

a)   é um composto altamente reactivo

b)   é insolúvel em água

c)   possui uma estrutura bastante semelhante à do substrato.

d)   é venenoso.

 

10.  Um inibidor não-competitivo de uma reacção enzimática

a)   não se liga ao complexo enzima-substrato (ES), mas apenas à enzima livre.

b)   diminui Vmax.

c)   não afecta a velocidade da reacção se se usarem concentrações saturantes de substrato.

d)   diminui KM

 

11.  Qual das seguintes afirmações sobre o centro activo de uma enzima é geralmente verdadeira?

a)   quase todos os aminoácidos da proteína participam directamente na catálise.

b)   todos os aminoácidos envolvidos na catálise se encontram bastante próximos uns dos outros po serem adjacentes na sequência primária da proteína.

c)   A conformação do centro activo não existe antes do substrato se ligar à enzima

d)   os aminoácidos envolvidos na catálise encontram-se bastante próximos devido à conformação específica da proteína

e)   o centro activo só inclui um aminoácido.

 

12.   No centro activo das enzimas encontra-se frequentemente:

1. histidina actuando como dador ou aceitador de H+. 2. cisteína (que contém –SH) actuando como um nucleófilo.   3. serina (que contém –OH) actuando como um nucleófilo.   4. cadeias laterais carboxílicas actuando como catalizadores ácido-base

a)   1, 2 e 3 estão correctas.

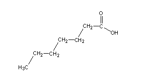
b)   1 e 3 estão correctas.

c)   2 e 4 estão correctas.

d)   Só a afirmação 4 está correcta.

e)   TODAS são correctas, ou TODAS são incorrectas.

 

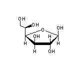
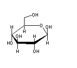
13.   As enzimas alostéricas são

1. normalmente sistemas com mais de uma subunidade.   2. sujeitas a regulação por efectores heterotrópicos.      3. encontradas frequentemente no primeiro “ponto de não-retorno” de uma via metabólica.   4. muito resistentes à desnaturação

a)   1, 2 e 3 estão correctas.

b)   1 e 3 estão correctas.

c)   2 e 4 estão correctas.

d)   Só a afirmação 4 está correcta.

e)   TODAS são correctas, ou TODAS são incorrectas.

 

14.   In vivo a velocidade de uma reacção enzimática pode ser controlada por:

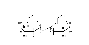
1. fosforilação da enzima.   2. interconversão da enzima entre formas com diferentes valores de Km.   3. inibição pelo produto.   4. Biossíntese de efectores alostéricos

a)   1, 2 e 3 estão correctas.

b)   1 e 3 estão correctas.

c)   2 e 4 estão correctas.

d)   Só a afirmação 4 está correcta.

e)   TODAS são correctas, ou TODAS são incorrectas.

 

15.    Cinética enzimática:

1. O valor de Km é independente da concentração de enzima.   2. Um baixo valor de Km sugere uma alta afinidade da enzima para o substrato.   3. As enzimas aumentam a velocidade de uma reacção química porque baixam a energia de activação, e não afectam a constante de equilíbrio   4. A velocidade de uma reacção enzimática é maxima quando a concentração do complexo enzima-substrato é máxima.

a)   1, 2 e 3 estão correctas.

b)   1 e 3 estão correctas.

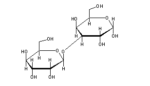
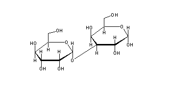
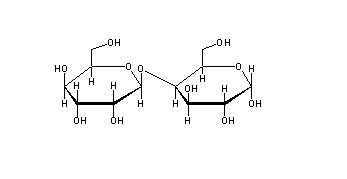
c)   2 e 4 estão correctas.

d)   Só a afirmação 4 está correcta.

e)   TODAS são correctas, ou TODAS são incorrectas.

 

16.  No fígado a concentração de glicina é normalmente de 0.1 mM. O Km do mecanismo de destoxificação da glicina: benzoil-CoA + glicina → CoA + ácido hipúrico é 0.5 mM. A administração de uma dose diária de 5 g de glicina aumenta a sua concentração no fígado para 1 mM. Supondo que a concentração de benzoil-CoA não varia, a velocidade da enzima aumenta:

a)   10 vezes

b)   8 vezes

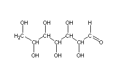
c)   6 vezes

d)   4 vezes

e)   2 vezes

 

17.   O valor de Vmax de uma reacção enzimática pode depender de:

1. pH da solução.   2. temperatura da solução.   3. concentração da enzima.   4. concentração de um inibidor competitivo.

a)   1, 2 e 3 estão correctas.

b)   1 e 3 estão correctas.

c)   2 e 4 estão correctas.

d)   Só a afirmação 4 está correcta.

e)   TODAS são correctas, ou TODAS são incorrectas.

 

18.  O conceito de “encaixe induzido” significa que

a)   a teoria da complementaridade entre o substrato e a enzima explica adequadamente o mecanismo da catálise enzimática.

b)   o centro activo é flexível: os grupos catalíticos da enzima são trazidos para um alinhamento correcto por interacção com o substrato

c)   a conformação do substrato muda na presença da enzima

d)   os isómeros D- e L- de substâncias opticamente activas reagem à mesma velocidade

e)   a formação do complexo enzima-substrato é sempre o passo mais rápido de uma reacção enzimática.

 

19.   O efeito normal na catálise enzimática de um aumento contínuo de temperatura entre 20 e 80 graus é:

a)   aumento de velocidade.

b)   diminuição de velocidade.

c)   aumento de velocidade seguido de diminuição de velocidade.

d)   diminuição de velocidade seguida aumento de velocidade.

e)   nenhum efeito.

 

20.    As enzimas:

1. diminuem a energia de activação da reacção.   2. afectam a velocidade a que se atinge o equilíbrio.   3. podem ser muito selectivas em relação ao substrato sobre que actuam.   4. diminuem a energia livre padrão da reacção.

a)   1, 2 e 3 estão correctas.

b)   1 e 3 estão correctas.

c)   2 e 4 estão correctas.

d)   Só a afirmação 4 está correcta.

e)   TODAS são correctas, ou TODAS são incorrectas.

 

21.    As enzimas alostéricas normalmente têm as seguintes características:

1. Inibição por “feedback”    2. Maior especificidade do que as enzimas não-alostéricas   3. São o passo limitante de uma via metabólica.   4. Activação por fosforilação.

a)   1, 2 e 3 estão correctas.

b)   1 e 3 estão correctas.

c)   2 e 4 estão correctas.

d)   Só a afirmação 4 está correcta.

e)   TODAS são correctas, ou TODAS são incorrectas.

 

22.   Considerando o mecanismo de Michaelis-Menten, qual das seguintes afirmações é INCORRECTA?

a)   Km é metade da concentração de substrato necessária para atingir Vmax.

b)   Quando [S] = Km, metade dos locais de ligação ao substrato encontram-se ocupados.

c)   De acordo com a dedução de Km, Km é maior do que a constante de dissociação de ES -> E + S.

d)   excepto a concentrações muito baixas de substrato, o aumento de Vé inferior ao aumento de [S].

e)   V é sempre igual a [ES] vezes k3.

 

23.   Se 0.25 mole de um inibidor irreversível reagirem com 1. 0 mole de enzima:

1. Km aumenta 25%.

2. Vmax diminui 25%.

3. Km e Vmax diminuem 25%.

4. Km não varia.

a)   1, 2 e 3 estão correctas.

b)   1 e 3 estão correctas.

c)   2 e 4 estão correctas.

d)   Só a afirmação 4 está correcta.

e)   TODAS são correctas, ou TODAS são incorrectas.

 

24.   A diminuição da velocidade de reacções enzimáticas que se observa frequentemente a temperaturas elevadas é devida a:

a)   aumento da energia de activação.

b)   diminuição da energia de activação.

c)   variação da constante de equilíbrio da reacção.

d)   inibição da enzima pelo próprio substrato.

e)   desnaturação térmica da enzima.

 

25.  Quando perde um protão um ácido transforma-se:

a)   numa espécie altamente reactiva

b)   no seu ácido conjugado

c)   na sua base conjugada.

d)   num ião hidróxido

 

26.  As soluções tampão

a)   têm sempre um pH de 7

b)   só raramente se encontram em sistemas vivos.

c)   tendem a manter um pH relativamente constante.

d)   causam um aumento de pH quando se lhes adiciona ácido.

 

27.  A carga negativa parcial num extremo da molécula de água tende a alinhar-se com a carga positiva parcial no extremo de outras moléculas de água vizinhas. Esta atracção denomina-se:

a)   ligação covalente

b)   interacção dipolar

c)   ligação iónica

d)   interacção hidrofóbica

 

28.  A carga negativa num carboxilato (COO-) tende a alinhar-se com a carga positiva de um grupo amina (NH3+). Esta atracção denomina-se:

a)   ligação iónica

b)   ponte de hidrogénio

c)   ligação covalente

d)   interacção hidrofóbica

 

29.  Das quatro moléculas seguintes: ácido acético (pKa=4.76), fenóxido (pKb=4.1), ácido cianídrico (HCN, pKa=9.1), anilina (pKb=9.4) a base mais forte será:

a)   o anião acetato

b)   o anião fenóxido

c)   a anilina

d)   o anião cianeto

 

30.  Considere a reacção de redução do cobre (II) (Cu2+) pelo crómio (III) Cr3+

(EºCu2+/Cu= 0.337 V; EºCr2O72-/Cr3+= 1.33 V)

A reacção será:

a)   espontânea, pois ΔEº < 0 V

b)   espontânea, pois ΔEº > 0 V

c)   não espontânea, pois ΔEº < 0 V

d)   não espontânea, pois ΔEº > 0 V

 

31.  O carácter nucleofílico do azoto central das moléculas apresentadas varia da seguinte forma:

a)   a>b>c

b)   a>c>b

c)   b>c>a

d)   b>a>c

e)   c>a>b

f)   c>b>a

 

32.  O carácter electrofílico das moléculas apresentadas varia da seguinte forma:

a)   a>b>c

b)   a>c>b

c)   b>c>a

d)   b>a>c

e)   c>a>b

f)   c>b>a

 

A bleomicina mata células tumorais, danificando o seu DNA através de reacções envolvendo radicais livres. Pensa-se que no processo possa estar envolvido o ião superóxido (O2-), através das seguintes reacções (em que R representa uma porção de DNA):

 

bleomicina-Co2+ + O2 -> bleomicina-Co3+ + O2-

O2- + R-H -> R· + HOO-

Nestas reacções :

33.  bleomicina-Co2+ é:

a)   oxidante

b)   redutor

c)   ácido conjugado

d)   base conjugada

 

34.  O2 é:

a)   oxidante

b)   redutor

c)   ácido conjugado

d)   base conjugada

 

35.  Na reacção com O2- o DNA será:

a)   base conjugada

b)   oxidado

c)   reduzido

d)   ácido conjugado

 

36.  Na deoxiemoglobina (Hb), o Fe2+ encontra-se penta-coordenado a

a)   quatro azotos do hemo e uma histidina da Hb.

b)   quatro azotos do hemo e uma molécula de água.

c)   quatro azotos do hemo e uma molécula de O2.

d)   dois azotos do hemo e três histidinas da Hb.

 

37.  Os efeitos alostéricos que ocorrem na hemoglobina

e)   só se observam em humanos.

f)   ajudam a manter o Fe no estado Fe2+.

g)   Afectam a flexibilidade da proteína.

h)   também se observam na mioglobina.

 

38.   Entre as semelhanças entre a hemoglobina e a mioglobina inclui-se:

a)   a presença de hemo como grupo prostético

b)   o efeito do pH na ligação ao oxigénio.

c)   o efeito do BPG.

d)   a forma da curva de dissociação do oxigénio.

 

39.    Na hemoglobina:

1. a oxigenação de um hemo aumenta a afinidade de outro hemo para o O2   2. a conformação T (tensa)   é estabilizada por pontes salinas entre as cadeias polipeptídicas .   3. o movimento do ferro do hemo em relação ao plano da porfirina provoca mudanças conformacionais noutras zonas da molécula.   4.  2,3-difosfoglicerato liga-se ao ferro hémico, competindo assim com o O2

a)   1, 2 e 3 estão correctas.

b)   1 e 3 estão correctas.

c)   2 e 4 estão correctas.

d)   Só a afirmação 4 está correcta.

e)   TODAS são correctas, ou TODAS são incorrectas.

 

40.   Quando isoladas, as subunidades da hemoglobina possuem muito maior afinidade para o oxigénio do que a molécula intacta Porquê?

a)   O BPG interactua muito mais facilmente com as subunidades dissociadas.

b)   O átomo de ferro afasta-se do plano do hemo.

c)   O hemo dissocia-se da globina.

d)   O efeito de Bohr é muito mais eficaz nas subunidades dissociadas.

e)   Os efeitos alostéricos que diminuem a afinidade para o oxigénio exigem a presença do tetrâmero intacto.

 

41.    As curvas de dissociação do oxigénio da hemoglobina e da mioglobina são diferentes porque:

1. a hemoglobina contém quatro cadeias polipeptídicas e a sua oxigenação depende do pH e da concentração de 2,3-difosfoglicerato.   2. a mioglobina pode ligar mais do que um oxigénio por hemo.   3. na hemoglobina, a oxigenação de uma subunidade afecta a oxigenação das outras subunidades.   4. contêm diferentes grupos prostéticos.

a)   1, 2 e 3 estão correctas.

b)   1 e 3 estão correctas.

c)   2 e 4 estão correctas.

d)   Só a afirmação 4 está correcta.

e)   TODAS são correctas, ou TODAS são incorrectas.

 

42.  Qual das seguintes alterações à hemoglobina adulta teria menos probabilidade de dar origem a uma hemoglobinémia clinicamente relevante?

a)   diminuição da solubilidade do tetrâmero.

b)   diminuição da oxidação do Fe2+ a Fe3+ nas subunidades.

c)   aumento da afinidade para o O2.

d)   aumento das ligações de hidrogénio entre os heterodímeros

e)   perda de hemos das subunidades

 

43.  Comparado com a hemoglobina isolada, o complexo da hemoglobina com 2,3- bis-fosfoglicerato exibe

a)   menos pontes de hidrogénio entre os heterodímeros ab.

b)   inferior solubilidade nos eritrócito

c)   menor número de hemos capazes de se ligar ao O2

d)   maior afinidade para o O2.

e)   maior número de interacções iónicas entre os heterodímeros.

 

44.  A estrutura quaternária da hemoglobina

a)   não é importante para o funcionamento da proteína.

b)   é rigida e não é afectada pela ligação ao O2.

c)   é mantida por ligações hidrofóbicas, iónicas e pontes de hidrogénio

d)   é estabilizada por ligações glicosídicas.

e)   é semelhante à da mioglobina.

 

45.  Uma variante da hemoglobina (conhecida como Hb Little Rock) exibe uma diminuição do nível de ligação ao 2,3-bisfosfoglicerato. A consequência mais provável desta mutação é

a)   mudanças na associação - dissociação das subunidades.

b)   diminuição da estabilidade .

c)   diminuição da afinidade para o oxigénio.

d)   aumento da afinidade para o oxigénio.

e)   perda de hemos.

 

46.  Na mioglobina oxigenada, a molécula de O2

a)   é o sexto ligando do ferro.

b)   provoca a oxidação reversível do  Fe2+ to Fe3+.

c)   provoca a mudança de conformação de uma α-helix  em folha-β.

d)   encontra-se ligada a dois grupos prostéticos hémicos .

e)   substitui a cadeia lateral de uma histidine quando se liga ao Fe.

 

47.  Escolha a afirmação correcta

a)   A variação de [H+] diminui a afinidade da hemoglobina para o O2.

b)   Elevadas concentrações de 2,3-bisfosfoglicerato diminuem a afinidade da hemoglobina para o O2.

c)   Um aumento de [H+] e de [HCO3-] aumenta a afinidade da mioglobina para o O2.

d)   Um aumento de [H+] e de [HCO3-] aumenta a afinidade da hemoglobina para o O2.

 

48.  A fórmula molecular da glicina é C2H5O2N. Qual seria a fórmula molecular de um péptido constituído por dez glicinas seguidas?

a)   C20H50O20N10.

b)   C20H32O11N10.

c)   C20H40O10N10.

d)   C20H30O10N10.

 

49.  O ponto isoeléctrico de um aminoácido é

a)   o pH em que o aminoácido não se encontra carregado electricamente.

b)   o pH em que o grupo -COOH não possui carga.

c)   o pH em que o grupo –NH2 não possui carga.

d)   o pH em que todos os grupos ionizáveis se encontram protonados.

 

50.  O ponto isoeléctrico do glutamato é 3.25. A pH 7.0

a)   o grupo carboxílico encontra-se protonado.

b)   o aminoácido tem carga negativa.

c)   o grupo amina não possui carga.

d)   a carga eléctrica do aminoácido é nula.

 

51.  O ponto isoeléctrico da tirosina é 6.7. A pH 7.0

e)   o aminoácido tem carga negativa.

f)   o grupo carboxílico encontra-se protonado.

g)   o grupo amina não possui carga.

h)   a carga eléctrica do aminoácido é nula.

 

52.  A cadeia lateral da isoleucina:

a)   contém um grupo sulfidrilo

b)   contém um hidrocarboneto ramificado

c)   contém um anel aromático

d)   a isoleucina não possui cadeia lateral

e)   contém um grupo ácido

 

53.  Membranas compostas exclusivamente de uma determinada diacil-fosfatidilcolina exibem uma transição de fase cristal-cristal líquido a 56 ºC. Que mudança criaria uma membrana fluida a 37ºC?

a)   Aumento do comprimento de um dos grupos acilo

b)   Aumento do comprimento de ambos os grupos acilo

c)   Aumento do grau de insaturação dos grupos acilo

d)   Aumento da concentração de Ca2+ no meio

 

54.    A estrutura terciária de uma proteína é:

a)   a sua sequência de aminoácidos

b)   a sua composição em aminoácidos

c)   a estrutura helical presente nas proteínas

d)   a ligação de proteínas a componentes não proteicos

e)   a sua estrutura tridimensional

 

55.    A estrutura primária de uma proteína é:

a)   a sua sequência de aminoácidos

b)   a sua composição em aminoácidos

c)   a estrutura helical presente nas proteínas

d)   a ligação de proteínas a componentes não proteicos

e)   a sua estrutura tridimensional

 

56.    A estrutura quaternária de uma proteína é:

a)   a sua sequência de aminoácidos

b)   a sua composição em aminoácidos

c)   a estrutura helical presente nas proteínas

d)   a forma como várias cadeias polipeptídicas se ligam numa só proteína

e)   a sua estrutura tridimensional

 

57.   Um cientista acabou de descobrir uma proteína nos eritrócitos capaz de transportar Na+ e glutamato do plasma para o interior da célula. As duas espécies são transportadas simultaneamente de acordo com o seu gradiente de concentração. Muito provavelmente esta proteína será

a)   uma proteína globular ligada à membrana por uma “âncora” de glicosil fosfatidilinositol

b)   uma proteína membranar integral contendo múltiplas hélices anfipáticas

c)   uma proteína membranar integral contendo folhas-β formando um canal hidrofóbico

d)   uma proteína membranar periférica.

 

58.  Estrutura do DNA

1.  O DNA é composto de duas hélices de polinucleótidos enroladas em torno de um eixo comum e orientadas no mesmo sentido.

2. As purinas e pirimidinas encontram-se empilhadas dentro da dupla hélice, e os açúcares e grupos fosfato encontram-se expostos no exterior da hélice.

3. As duas cadeias são estabilizadas principalmente por ligações de hidrogénio.

4. As bases azotadas das duas cadeias são complementares entre si, e formam-se ligações de hidrogénio entre adenina e timina, e entre citosina e guanina.

a)   1, 2 e 3 estão correctas.

b)   1 e 3 estão correctas.

c)   2 e 4 estão correctas.

d)   Só a afirmação 4 está correcta.

e)   TODAS são correctas, ou TODAS são incorrectas.

 

59.  Existe uma enzima cuja função é vital para a manutenção do pH na corrente sanguínea. É a:

a)   hemoglobina

b)   fosfatase ácida

c)   fosfatase alcalina

d)   anidrase carbónica

 

60.    Todas as afirmações seguintes sobre a D-glucose são correctas EXCEPTO:

a)   é um epímero da galactose em C-4 (carbono 4).

b)   é um açúcar redutor.

c)   em combinação com a galactose, forma lactose.

d)   as configurações a e β são determinadas em C-2 (carbono 2).

 

61.  O ácido gordo representado pode ser representado como:

a)   20:3(6,9,12)

b)   20:3(8,11,14)

c)   20:3(omega 2)

d)   20:3(omega 4)

e)   20:3(omega 7)

62.  O ácido gordo representado pode ser representado como:

a)   20:3(6,9,12)

b)   20:3(8,11,14)

c)   20:3(omega 2)

d)   20:3(omega 4)

e)   20:3(omega 7)

 

63.  O ácido gordo representado pode ser representado como:

a)   20:3(6,9,12)

b)   20:3(8,11,14)

c)   20:3(omega 2)

d)   20:3(omega 4)

e)   20:3(omega 7)

 

64.  O ácido gordo representado pode ser representado como:

a)   20:3(6,9,12)

b)   20:3(8,11,14)

c)   20:3(omega 2)

d)   20:3(omega 4)

e)   20:3(omega 7)

 

65. 

A molécula apresentada é:

a)   a-glucofuranose

b)   β-glucofuranose

c)   a-glucopiranose

d)   β-glucopiranose

 

66. 

A molécula apresentada é:

a)   a-glucofuranose

b)   β-glucofuranose

c)   a-glucopiranose

d)   β-glucopiranose

 

67. 

A molécula apresentada é:

a)   a-glucofuranose

b)   β-glucofuranose

c)   a-glucopiranose

d)   β-glucopiranose

 

68. 

A molécula apresentada é:

a)   a-glucofuranose

b)   β-glucofuranose

c)   a-glucopiranose

d)   β-glucopiranose

 

69. 

As duas moléculas apresentadas são:

a)   enantiómeros

b)   diasteroisómeros

c)   epímeros

d)   cetoses

 

 

 

 

 

70. 

As duas moléculas apresentadas são:

a)   enantiómeros

b)   diasteroisómeros

c)   epímeros

d)   cetoses

 

 

 

 

 

71. 

As duas moléculas apresentadas são:

a)   enantiómeros

b)   diasteroisómeros

c)   epímeros

d)   cetoses

 

 

 

 

 

72. 

As duas moléculas apresentadas são:

a)   enantiómeros

b)   aldoses

c)   epímeros

d)   diasteroisómeros

 

 

 

 

73. 


O polissacarídeo representado na figura é:

a)   celulose

b)   amilose

c)   amilopectina

d)   glicogénio

74. 


O polissacarídeo representado na figura é:

a)   celulose

b)   amilose

c)   amilopectina

d)   glicogénio

75.  O polissacarídeo representado na figura é:

a)   celulose

b)   amilose

c)   amilopectina

d)   glicogénio

 

76.  No interior de uma proteína esperar-se-á encontrar principalmente:

a)   alanina, prolina e isoleucina

b)   isoleucina, glutamato e serina

c)   serina, glutamina e treonina

d)   treonina, alanina e prolina

 

77.  Na superfície de uma proteína esperar-se-á encontrar:

a)   serina, prolina e isoleucina

b)   isoleucina, glutamina e alanina

c)   serina, glutamina e treonina

d)   treonina, alanina e prolina

 

78.  Qual das moléculas apresentadas é um aminoácido?

79.  Bioquímica estrutural:

1. A a-hélice é estabilizada principalmente pela presença de numerosas interacções hidrofóbicas.   2. A folha pregueada β envolve ligações de hidrogénio entre regiões extensas da proteína apenas quando estas se encontram dispostas de forma paralela.   3. A estrutura quaternária refere-se à interligação de proteínas globulares por intermédio de pontes de dissulfureto.   4. As pontes de dissulfureto formam-se depois do polipéptido ter adoptado a sua estrutura tridimensional definitiva.

a)   1, 2 e 3 estão correctas.

b)   1 e 3 estão correctas.

c)   2 e 4 estão correctas.

d)   Só a afirmação 4 está correcta.

e)   TODAS são correctas, ou TODAS são incorrectas.

 

80.   A maltose é um dissacarídeo composto de

a)   galactose e glucose

b)   glucose e glucose

c)   galactose e frutose

d)   frutose e frutose

e)   glucose e frutose

 

81.    Qual dos seguintes carboidratos possui uma ligação glicosídica β-1,4 ?

a)   amilose.

b)   sacarose.

c)   maltose.

d)   glicogénio.

e)   lactose.

 

82.   A lactose é um dissacarídeo composto de

a)   galactose e glucose

b)   glucose e glucose

c)   galactose e frutose

d)   frutose e frutose

e)   glucose e frutose

83.  A molécula apresentada possui uma ligação:

a)   a -1,4

b)   β -1,4

c)   a -1,3

d)   β-1,3

84.  A molécula apresentada possui uma ligação:

a)   a -1,4

b)   β -1,4

c)   a -1,3

d)   β-1,3

85.  A molécula apresentada possui uma ligação:

a)   a -1,4

b)   β -1,4

c)   a -1,3

d)   β-1,3

 

 

86.  A molécula apresentada possui uma ligação:

a)   a -1,4

b)   β -1,4

c)   a -1,3

d)   β-1,3

 

 

87.  a-hélices e folhas pregueadas β

a)   são estruturas alternativas que se formam num polissacarídeo consoante os isómeros estruturais dos monossacarídeos que o compõem

b)   podem ser encontradas no DNA e por vezes também no RNA

c)   formam-se devido à existência de ligações covalentes entre aminoácidos não adjacentes

d)   formam-se devido à existência de pontes de hidrogénio entre átomos de aminoácidos não adjacentes

 

88.  As duas cadeias da dupla hélice de DNA estão unidas por:

a)   ligações de hidrogénio entre adenina e guanina, e entre citosina e timina

b)   ligações covalentes entre adenina e timina, e entre citosina e guanina

c)   ligações de hidrogénio entre adenina e timina, e entre citosina e guanina

d)   ligações covalentes entre adenina e guanina, e entre citosina e timina

 

89.  A molécula representada é :

a)  

um aminoácido

b)   um monossacarídeo

c)   um nucleósido

d)   um ácido gordo

 

90. 

A molécula representada é :

a)   um aminoácido

b)   um monossacarídeo

c)   um ácido gordo

d)   nenhuma destas opções

 

91. 

A molécula representada é :

a)   um aminoácido

b)   um monossacarídeo

c)   um ácido gordo

d)   nenhuma destas opções

 

92.  A molécula representada é :

a)   um ribonucleósido

b)   um ribonucleótido

c)   um desoxirribonucleótido

d)   um desoxirribonucleósido

 

 

93.  A molécula representada é :

a)   um ribonucleótido

b)   um ribonucleósido

c)   um desoxirribonucleótido

d)   um desoxirribonucleósido

 

 

94.  A molécula representada é :

a)   um ribonucleósido

b)   um ribonucleótido

c)   um desoxirribonucleótido

d)   um desoxirribonucleósido

 

 

95.  A molécula representada é :

a)   um ribonucleótido

b)   um ribonucleósido

c)   um desoxirribonucleótido

d)   um desoxirribonucleósido

 

 

 

 

96.  O anticodão faz parte do

a)   DNA

b)   RNA ribossomal

c)   RNA de transferência

d)   péptido sinal

Glicólise

97.  Numa célula eucariótica as enzimas responsáveis pela glicólise localizam-se:

a)   na membrana interna da mitocôndria.

b)   no citosol.

c)   na matriz mitocondrial

d)   no espaço intermembranar

 

98.  A adição de O2 puro a uma cultura de levedura crescendo em sumo de uva faz com que a levedura se multiplique mais depressa. O efeito no vinho será:

a)   produção mais rápida do vinho.

b)   um mais alto nível de etanol no vinho.

c)   pouco ou nenhum efeito.

d)   a produção de uma bebida practicamente sem álcool

 

99.  A fosforilação da glucose a glucose-6-P serve para:

a)   impedir a entrada excessiva de água na célula

b)   impedir a saída de glucose da célula

c)   impedir a saída excessiva de água da célula

d)   tornar a glucose mais fácil de degradar

 

Glucose + ATP→ Glucose-6-fosfato + ADP

100.   A equação acima representa

a)   a desfosforilação da glucose

b)   a fosforilação do ADP

c)   o primeiro passo da glicólise

d)   uma reacção que ocorre dentro da matriz mitocondrial

 

101.   As fermentações

a)   produzem ácido láctico

b)   não requerem oxigénio

c)   usam oxigénio

d)   produzem grandes quantidades de energia

e)   ocorrem apenas em bactérias

 

102.   A frutose 2,6-bisfosfato é um estimulador potente da:

1. aldolase.

2. hexocinase.

3. piruvato desidrogenase.

4. fosfofrutocinase.

a)   1, 2 e 3 estão correctas.

b)   1 e 3 estão correctas.

c)   2 e 4 estão correctas.

d)   Só a afirmação 4 está correcta.

e)   TODAS são correctas, ou TODAS são incorrectas.

 

103.    Qual das seguintes possibilidades de utilização da glucose-6-fosfato é improvável no músculo?

a)   Conversão em frutose-6-fosfato.

b)   Conversão em glucose-1-fosfato.

c)   Hidrólise em diidroxiacetona-fosfato e gliceraldeído-3-fosfato.

d)   Hidrólise em glucose.

e)   Conversão em lactato.

 

104.   Qual a produção de NADH quando se oxida 1 mole de glucose 6-fosfato a piruvato através da glicólise?

a)   0 mole NADH

b)   1 mole NADH

c)   2 mole NADH

d)   3 mole NADH

 

105.   Qual a produção de NADH quando se oxida completamente uma mole de acetil-CoA a CO2 pelo ciclo de Krebs?

a)   0 mole NADH

b)   1 mole NADH

c)   2 mole NADH

d)   3 mole NADH

 

106.   Qual a produção de NADH quando se oxida uma mole de piruvato a acetil-CoA?

a)   0 mole NADH

b)   1 mole NADH

c)   2 mole NADH

d)   3 mole NADH

 

107.   Qual a produção de NADH quando se oxida 1 mole de glucose 6-fosfato a lactato através da glicólise?

a)   0 mole NADH

b)   1 mole NADH

c)   2 mole NADH

d)   3 mole NADH

 

108.    Para o transporte de glucose para as células musculares é (são) necessário(s):

1. transporte activo.

2. Na+,K+ ATPase.

3. Na+.

4. transportadores específicos.

a)   1, 2 e 3 estão correctas.

b)   1 e 3 estão correctas.

c)   2 e 4 estão correctas.

d)   Só a afirmação 4 está correcta.

e)   TODAS são correctas, ou TODAS são incorrectas.

 

109.    Para o transporte de glucose através da membrana basal das células intestinais é (são) necessário(s):

1. transporte activo.

2. Na+,K+ ATPase.

3. Na+.

4. fosfato.

a)   1, 2 e 3 estão correctas.

b)   1 e 3 estão correctas.

c)   2 e 4 estão correctas.

d)   Só a afirmação 4 está correcta.

e)   TODAS são correctas, ou TODAS são incorrectas.

 

110.   A fosfofructocinase é a principal enzima controladora do fluxo da glicólise. É inibida alostericamente por ___ e activada por ___.

a)   AMP   Pi

b)   ADP    AMP

c)   citrato ATP

d)   ATP    PEP

e)   ATP    AMP

 

111.   A piruvato cinase é uma das enzimas reguladoras do fluxo da glicólise. É inibida alostericamente por ___ e activada por ___.

a)   AMP   Pi

b)   ADP    AMP

c)   citrato ADP

d)   acetil CoA    AMP

 

112.   No primeiro passo da glicólise a fosforilação da glucose encontra-se acoplada à

a)   produção de CO2

b)   redução de NAD+

c)   síntese de ATP

d)   hidrólise de ATP

e)   perda de electrões

 

113.   O cansaço nos músculos resulta da acumulação de lactato por causa

a)   de uma deficiência enzimática

b)   de falta de oxigénio

c)   da presença de um número excessivo de mitocôndrias

d)   da incapacidade de metabolizar glucose

 

114.   Na ausência de oxigénio, a principal função da fermentação é:

a)   produzir aminoácidos para a síntese de proteínas

b)   gerar um gradiente de protões para a síntese de ATP

c)   oxidar glucose para produzir a forma reduzida dos transportadores de electrões

d)   produzir álcool para bebidas

e)   regenerar NAD+ a partir de NADH para permitir que a glicólise continue.

f)   Nenhuma destas opções.

 

115.   A velocidade da glicólise numa célula é estimulada pela concentração de:

a)   ATP

b)   AMP

c)   citrato

d)   O2

e)   CO2

 

116.     A hexocinase D e a hexocinase podem fosforilar a glucose para formar glucose-6-fosfato. Qual das seguintes afirmações é INCORRECTA?

a)   Hexocinase é inibida por glucose-6- fosfato.

b)   Hexocinase e hexocinase D têm Vmax semelhantes.

c)   Hexocinase e glucocinase têm afinidades semelhantes para a glucose

d)   hexocinase D é inibida por frutose-6-fosfato.

 

117.     Todos os seguintes compostos são considerados altamente energéticos EXCEPTO...

a)   1,3-bisfosfoglicerato

b)   fosfoenolpiruvato

c)   adenosina monofosfato

d)   creatina fosfato

e)   adenosina trifosfato

 

118.   No primeiro passo da glicólise, a enzima hexocinase usa ATP para transferir um fosfato para a glucose e produzir glucose-6-fosfato. Esta continua a ser oxidada a piruvato na glicólise e é um precursor do acetil-CoA (que depois entrará no ciclo de Krebs). Suponha que uma célula apenas possui glucose como fonte de energia e que de repente a actividade da hexocinase é inibida nesta célula. Quais serão as consequências?

a)   A célula continuará a produzir energia através do transporte de electrões na mitocôndria

b)   A célula continuará a produzir ATP através do ciclo de Krebs.

c)   A célula ficará impossibilitada de produzir ATP.

d)   A célula ver-se-á forçada a utilizar a fermentação para produzir ATP.

e)   A célula passará a utilizar mais oxigénio.

f)   Nenhuma destas opções.

 

119.   Inibida por glucose-6-fosfato

a)   hexocinase D

b)   Hexocinase

c)   A e B são verdadeiras

d)   Nenhuma destas respostas

 

120.   O principal passo regulador da glicólise ocorre a nível da

a)   aldolase.

b)   fosfofructocinase.

c)   hexocinase D.

d)   piruvato cinase.

e)   piruvato desidrogenase.

 

121.     A hexocinase D:

a)   tem maior afinidade para a glucose do que a hexocinase.

b)   é induzida durante o jejum.

c)   existe no fígado.

d)   é inibida pela glucose-6-fosfato.

 

Aumento Diminuição Normal
Glicogénio muscular Gliceraldeído-3-fosfato Gluconeogénese
Glucose-6-fosfato 2,3-difosfoglicerato  
Frutose-6-fosfato    

122.   A deficiência da enzima _______ explica os dados acima:

a)   Frutose-1,6-bisfosfatase

b)   Gliceraldeído-3-fosfato desidrogenase

c)   Fosfofrutocinase

d)   Piruvato cinase

e)   Triose fosfato isomerase

 

Elevada Diminuída
Frutose-1,6-bisfosfato ATP
2,3-Difosfoglicerato  
Dihidroxiacetona fosfato  

123.   As seguintes observações (efectuadas em eritrócitos) são melhor explicadas por uma deficiência na...

a)   Frutose bisfosfatase

b)   Glucose-6-fosfato desidrogenase

c)   Hexocinase

d)   hexocinase D

e)   Fosfoglicerato cinase

 

124.    Em condições anaeróbicas, o músculo executa a glicólise produzindo ATP e ácido láctico. A produção de lactato é necessária devido à existência de uma quantidade limitada de _________ na célula

a)   ADP

b)   piruvato

c)   glucose

d)   NAD+

e)   NADH

 

125.   Por que razão existe no citoplasma das células muito mais lactato do que piruvato em condições anaeróbicas, e mais piruvato do que lactato em condições aeróbicas?

a)   o lactato é produzido a partir do piruvato em grande quantidade apenas em condições anaeróbicas

b)   em condições anaeróbicas o piruvato é transformado em dióxido de carbono

c)   em condições anaeróbicas o piruvato é convertido em glucose através da gluconeogénese

d)   em condições aeróbicas o lactato é o aceitador final de electrões

e)   em condições anaeróbicas o piruvato é transportado para a mitocôndria

 

126.     A glicólise:

1. é a única fonte de ATP nos eritrócitos.

2. é a única via do metabolismo da glucose fisiologicamente importante.

3. inclui passos termodinamicamente irreversíveis nas condições fisiológicas.

4. fornece NADPH.

a)   1, 2 e 3 estão correctas.

b)   1 e 3 estão correctas.

c)   2 e 4 estão correctas.

d)   Só a afirmação 4 está correcta.

e)   TODAS são correctas, ou TODAS são incorrectas.

 

127.   O principal passo controlador da glicólise é a:

a)   formação de frutose 1,6 bisfosfato.

b)   formação de glucose-6-fosfato.

c)   formação de frutose-6-fosfato.

d)   formação de gliceraldeído-3-fosfato.

e)   formação de fosfoenolpiruvato.

 

128.   Em condições anaeróbicas, o músculo esquelético pode continuar a gerar ATP através da glicólise, o que resulta na transformação da glucose em

a)   acetil-CoA

b)   succinato.

c)   lactato.

d)   citrato.

e)   malonato.

Ciclo de Krebs

129.   Numa célula eucariótica as enzimas responsáveis pelo ciclo de Krebs localizam-se:

a)   na membrana interna da mitocôndria.

b)   no citosol.

c)   na matriz mitocondrial

d)   no espaço intermembranar

 

130.   Numa célula eucariótica a enzima responsável pela transformação do piruvato em acetil-CoA encontra-se:

a)   na membrana interna da mitocôndria.

b)   no citosol.

c)   na matriz mitocondrial

d)   no espaço intermembranar

 

131.    No complexo piruvato desidrogenase intervêm todas as moléculas seguintes EXCEPTO

a)   NAD+

b)   ácido lipóico .

c)   tiamina pirofosfato.

d)   piridoxal fosfato.

e)   coenzima A

 

132.   A maioria do ATP produzido no metabolismo dos nutrientes é gerado por

a)   glicólise e fermentação anaeróbica

b)   fermentação e transporte de electrões

c)   glicólise e fosforilação a nível do substrato

d)   ciclo de Krebs e cadeia transportadora de electrões

 

133.   O piruvato entra no ciclo de Krebs depois de ser convertido em

a)   acetaldeído

b)   lactato

c)   etanol

d)   acetil-CoA.

 

134.   A oxidação completa de uma molécula de acetil-CoA pelo ciclo de Krebs produz

a)   2 CO2, 2 NADH, 1 FADH2

b)   2 CO2, 3 NADH, 1 FADH2

c)   3 CO2, 3 NADH, 1 FADH2

d)   3 CO2, 2 NADH, 1 FADH2.

 

135.   O ciclo de Krebs funciona em qual dos seguintes processos?

a)   utilização de alguns aminoácidos

b)   conversão de glucose em lactato

c)   síntese de corpos cetónicos

d)   produção de compostos de carbono que podem ser facilmente transformados em vitaminas

 

136.   O ponto de não-retorno do ciclo de Krebs é:

a)   piruvato desidrogenase

b)   a-cetoglutarato desidrogenase

c)   succinato desidrogenase

d)   citrato sintase

e)   malato desidrogenase

 

137.   O ciclo de Krebs funciona em qual dos seguintes processos?

a) produção de energia a partir de ácidos gordos

b) utilização de alguns aminoácidos

c) utilização de corpos cetónicos

d) a),b) e c) estão correctas

e) b) e c) estão correctas

138.   Qual(is) dos seguintes factores diminuirá a velocidade do ciclo de Krebs?

a)   AMP e piruvato

b)   ATP e NADH

c)   NAD+ e ADP

d)   ião Ca2+

e)   fumarato

 

139.    Entre os produtos da reacção da piruvato desidrogenase incluem-se:

1. CO2

2. NADH

3. acetil-CoA

4. fosfoenolpiruvato

a)   1, 2 e 3 estão correctas.

b)   1 e 3 estão correctas.

c)   2 e 4 estão correctas.

d)   Só a afirmação 4 está correcta.

e)   TODAS são correctas, ou TODAS são incorrectas.

 

140.   Em condições aeróbicas, as células musculares podem usar ______________ para produzir energia:

e)   ácidos gordos

f)   alanina

g)   glucose

h)   ácidos gordos e glucose

i)   ácidos gordos e alanina

j)   glucose e alanina

k)   ácidos gordos, glucose e alanina.

 

141.   Em condições anaeróbicas, as células musculares podem usar ______________ para produzir energia:

a)   ácidos gordos

b)   alanina

c)   glucose

d)   ácidos gordos e glucose

e)   ácidos gordos e alanina

f)   glucose e alanina

g)   ácidos gordos, glucose e alanina.

 

142.   Em condições aeróbicas, os neurónios podem usar ______________ para produzir energia:

a)   ácidos gordos

b)   alguns aminoácidos

c)   glucose

d)   ácidos gordos e glucose

e)   ácidos gordos e alguns aminoácidos

f)   ácidos gordos, glucose e alguns aminoácidos.

 

143.   Numa célula eucariótica as proteínas responsáveis pela cadeia transportadora de electrões localizam-se:

a)   na membrana interna da mitocôndria.

b)   no citosol.

c)   na membrana externa da mitocôndria

d)   no espaço intermembranar

 

144.   Energia libertada da glucose durante a respiração, mas não utilizada para formar ATP pode ser detectada sob a forma de:

a)   H2O.

b)   CO2.

c)   movimento.

d)   Calor

 

145.   A Coenzima Q está envolvida no transporte de electrões.

a)   é uma molécula hidrofóbica.

b)   encontra-se ligada covalentemente a um citocromo

c)   é um aceitador de electrões hidrossolúvel.

d)   transfere electrões directamente para o O2.

 

146.   O complexo Citocromo c oxidase

a)   Recebe electrões do citocromo c.

b)   Doa quatro electrões ao O2.

c)   produz 2 H2O por cada O2 .

d)   bombeia  protões para fora da matriz mitocondrial .

e)   Todas as hipóteses são correctas.

 

147.   NaCN inibe a respiração porque

a)   oxida NADH sem transferência de electrões.

b)   Provoca a dissociação do FADH2 da succinato desidrogenase.

c)   Liga-se ao centro de Fe da Citocromo oxidase.

d)   Forma um complexo irreversível com o O2.

e)   Promove a “fuga” de protões como HCN.

 

148.   Na cadeia transportadora de electrões, o aceitador final de electrões é

a)   oxigénio

b)   água

c)   citocromo oxidase

d)   a mitocôndria

149.   Segundo a hipótese quimiosmótica, a energia para a síntese de ATP provém do movimento de um ião segundo o seu gradiente electroquímico. O ião envolvido é:

a)   o ião fosfato    (PO43-)

b)   o ião sódio   (Na+)

c)   o ião hidrogénio   (H+)

d)   o ião cálcio   (Ca2+)

 

150.   Durante o transporte de electrões, existe transferência de protões dum um lado para o outro da membrana interna em todos os complexos respiratórios EXCEPTO:

a)   Complexo I.

b)   Complexo II.

c)   Complexo III.

d)   Complexo IV.

 

151.   O cianeto liga-se facilmente à porção metálica dos citocromos. Qual dos seguintes acontecimentos será mais provável no envenenamento por cianeto?

a)   interrupção da transferência dos electrões do NADH

b)   interrupção da transferência dos electrões do FADH2

c)   interrupção da transferência dos electrões para o O2

d)   ruptura da membrana mitocondrial

e)   a cadeia respiratória não será afectada

 

152.   Na oxidação da glucose, quantas moléculas de CO2 são produzidas por cada molécula de O2 utilizada na respiração celular?

a)   1

b)   3

c)   6

d)   12

 

153.   Quantas moléculas de CO2 são produzidas por cada molécula de glucose utilizada na respiração celular?

a)   1

b)   3

c)   6

d)   12

 

154.   Quantas moléculas de CO2 são produzidas por cada molécula de piruvato em condições aeróbicas?

a)   1

b)   3

c)   6

d)   12

 

155.   Na cadeia transportadora de electrões, tudo o que se segue é verdade EXCEPTO

a)   Cada NADH produz cerca de três ATP

b)   A transferência electrónica é geralmente acompanhada de transferência de iões H+ da matriz mitocondrial para o espaço intermembranar

c)   A ubiquinona transfere electrões do complexo I para o complexo III

d)   Produz-se ATP quando ocorre fluxo de H+ da matriz mitocondrial para o espaço intermembranar através do complexo ATPase

 

156.   Na cadeia transportadora de electrões, tudo o que se segue é verdade EXCEPTO

a)   Cada FADH2 produz cerca de dois ATP

b)   A transferência electrónica é geralmente acompanhada de transferência de iões H+ do espaço intermembranar para a a matriz mitocondrial

c)   A ubiquinona transfere electrões do complexo II para o complexo III

d)   Produz-se ATP quando ocorre fluxo de H+ do espaço intermembranar para a a matriz mitocondrial através do complexo ATPase

 

157.   Tratou-se uma mitocôndria com uma substância que permite a passagem de iões H+ através da membrana. Quais serão os resultados?

a)   formação de mais ATP

b)   formação de menos ATP

c)   Aumento da temperatura

d)   a e c estão correctas

e)   b e c estão correctas

 

158.     Qual dos seguintes componentes não faz parte da cadeia transportadora de electrões?

a)   Citocromo c

b)   Citocromo aa3

c)   Coenzima Q (ubiquinona)

d)   Flavoproteinas

e)   Coenzima A

 

159.   Entre os compostos que protegem contra as espécies reactivas do oxigénio encontram-se:

a)   ácido ascórbico e vitamina K.

b)   ácido ascórbico e vitamina E

c)   caroteno e Fe2+.

d)   ácido nicotínico (niacina)   e vitamina E

e)   riboflavina e vitamina A  

 

160.   Para funcionarem, quer a Citocromo oxidase e a superóxido dismutase requerem formas biológicas de

a)   cobalto.

b)   cobre.

c)   magnésio.

d)   molibdénio.

e)   selénio.

 

161.   Qual das seguintes frases é correcta?

a)   A respiração aeróbica é provavelmente mais antiga do que a respiração anaeróbica.

b)   Na ausência de oxigénio, a fermentação ocorre espontaneamente, sem a utilização de enzimas.

c)   Cada NADH + H+ gerado no ciclo de Krebs contém energia suficiente para produzir quase três moléculas de ATP.

d)   Ao contrário do piruvato, os ácidos gordos dividem-se em moléculas de 3 carbonos cada uma durante a respiração.

e)   Em cada “volta” do ciclo de Krebs formam-se 8 moléculas de dióxido de carbono.

 

162.     A conversão completa de uma mole de glucose em CO2e H2O através da glicólise e do ciclo de Krebs produz ______ moles de ATP (suponha que o shuttle do malato está a ser usado).

a)   12

b)   24

c)   30

d)   36

e)   38

 

163.     A conversão completa de uma mole de glucose a CO2e H2O através da glicólise e do ciclo de Krebs produz ______ moles de ATP (suponha que o shuttle do glicerol-3-P está a ser usado).

a)   12

b)   24

c)   30

d)   36

e)   38

 

164.   A redução do oxigénio a água que ocorre na mitocôndria pode produzir espécies derivadas do oxigénio, muito reactivas e com elevado potencal destrutivo. Uma enzima extremamente importante na protecção das células contra estas espécies é:

a)   Piruvato desidrogenase

b)   Catalase

c)   Aldolase

d)   Citocromo c peroxidase

e)   Citocromo b reductase

 

165.   A redução do oxigénio a água que ocorre na mitocôndria pode produzir espécies derivadas do oxigénio, muito reactivas e com elevado potencial destrutivo. Uma enzima extremamente importante na protecção das células contra estas espécies é:

a)   Citocromo c peroxidase

b)   Aldolase

c)   Superóxido dismutase

d)   Piruvato desidrogenase

e)   Citocromo b reductase

 

166.    A oxidação mitocondrial ( através do ciclo de Krebs e da cadeia transportadora de electrões) aumenta a produção de ATP a partir da glucose (quando comparada com a glicólise anaeróbica) de cerca de

a)   3 vezes

b)   5 vezes

c)   10 vezes

d)   20 vezes

e)   50 vezes

 

167.   As enzimas características da gluconeogénese encontram-se no citosol, excepto:

a)   piruvato carboxilase, que se encontra na mitocôndria.

b)   frutose-1. 6-bisfosfatase, que se encontra na mitocôndria.

c)   glucose-6-fosfatase, que se encontra na mitocôndria.

d)   frutose-1,6-bisfosfatase, que se encontra nos grânulos de glicogénio

e)   piruvato carboxilase, que se encontra nos grânulos de glicogénio.

 

168.   O precursor do glicogénio na reacção catalizada pela sintase do glicogénio é

a)   glucose-1-P.

b)   glucose-6-P.

c)   UDP-glucose.

d)   UTP-glucose.

e)   Nenhuma das respostas acima está correcta.

 

169.   A degradação do glicogénio pela acção conjunta da glicogénio fosforilase e da enzima desramificadora produz

a)   glucose-1-P.

b)   glucose-6-P.

c)   glucose

d)   a e b estão correctas

e)   b e c estão correctas

f)   a e c estão correctas

 

170.   A degradação do glicogénio pela acção conjunta da glicogénio fosforilase, da enzima desramificadora e da fosfoglucomutase produz

a)   glucose-1-P.

b)   glucose-6-P.

c)   glucose

d)   a e b estão correctas

e)   b e c estão correctas

f)   a e c estão correctas

 

171.   No metabolismo do glicogénio

a)   a glicogénio sintase forma ligações glicosídicas a-1, 4

b)   a enzima desramificadora produz glucose livre a partir do glicogénio

c)   A e B são verdadeiras

d)   nenhuma destas respostas

 

172.   A partir de seis moléculas de glucose, a via das pentoses-fosfato (eventualmente em conjunto com a glicólise ou a gluconeogénese)   pode produzir :

a)   6 moléculas de ribose-5-P, 2 moléculas de piruvato, 2 NADH e 2 ATP

b)   12 NADPH, 6 moléculas de ribose-5-P e 6 CO2

c)   12 NADPH, 5 moléculas de frutose-6-P e 6 CO2

d)   Todas as opções estão correctas

 

173.   A partir de seis moléculas de glucose, a via das pentoses-fosfato (eventualmente em conjunto com a glicólise ou a gluconeogénese)   pode produzir :

a)   6 moléculas de ribose-5-P, 2 moléculas de piruvato, 2 NADH e 2 ATP

b)   12 NADPH, 5 moléculas de ribose-5-P e 5 CO2

c)   12 NADPH, 5 moléculas de frutose-6-P e 5 CO2

d)   Todas as opções estão correctas

 

174.   A partir de seis moléculas de glucose, a via das pentoses-fosfato (eventualmente em conjunto com a glicólise ou a gluconeogénese)   pode produzir :

a)   6 moléculas de ribose-5-P, 2 moléculas de piruvato, 2 NADPH e 2 ATP

b)   12 NADPH, 6 moléculas de ribose-5-P e 6 CO2

c)   12 NADPH, 5 moléculas de frutose-6-P e 5 CO2

d)   Todas as opções estão correctas

 

175.   A via das pentoses fosfato é uma fonte de todas as moléculas seguintes EXCEPTO:

a)   ribose-5-fosfato

b)   NADPH

c)   ATP

d)   6-fosfogluconato ácido

 

176.   A adição de uma molécula de glucose a uma cadeia de glicogénio custa o equivalente a ____ hidrólises de ATP em ADP

a)   0

b)   1

c)   2

d)   3

 

177.   O arsenato é um ião semelhante ao fosfato. Na presença de arsenato, a produção de ATP a partir de ADP e fosfato livre pára. Qual o balanço energético da glicólise na presença de arsenato?

a)   -2 ATP

b)   0 ATP

c)   1 ATP

d)   2 ATP

 

178.   Qual o balanço energético da síntese de uma molécula de glucose a partir de duas moléculas de lactato durante a gluconeogénese? Que quantidade de NADH é necessária?

a)   -6 ATP ; 0 NADH

b)   -4 ATP ; 2 NADH

c)   -6 ATP ; 2 NADH

d)   -4 ATP ; 0 NADH

 

179.   Qual o balanço energético da síntese de uma molécula de glucose a partir de duas moléculas de malato durante a gluconeogénese? Que quantidade de NADH é necessária?

a)   -6 ATP ; 0 NADH

b)   -4 ATP ; 2 NADH

c)   -6 ATP ; 2 NADH

d)   -4 ATP ; 0 NADH

 

180.   Qual o balanço energético da síntese de uma molécula de glucose a partir de duas moléculas de oxaloacetato durante a gluconeogénese? Que quantidade de NADH é necessária?

a)   -6 ATP ; 0 NADH

b)   -4 ATP ; 2 NADH

c)   -6 ATP ; 2 NADH

d)   -4 ATP ; 0 NADH

 

181.   Qual o balanço energético da síntese de uma molécula de glucose a partir de duas moléculas de piruvato durante a gluconeogénese? Que quantidade de NADH é necessária?

a)   -6 ATP ; 0 NADH

b)   -4 ATP ; 2 NADH

c)   -6 ATP ; 2 NADH

d)   -4 ATP ; 0 NADH

 

182.    Na doença do metabolismo do glicogénio em que a fosforilase hepática é deficiente a hipoglicémia é menos severa do que na doença em que a glucose-6-fosfatase é deficiente. Uma explicação para este facto é

a)   glucagon activa a fosforilase mas não a glucose-6-fosfatase.

b)   o fígado pode fornecer glucose ao sangue através da gluconeogénese mesmo que a fosforilase esteja deficiente, mas não o consegue fazer quando a glucose-6-fosfatase é deficiente.

c)   a hexocinase é o passo limitante na conversão do glicogénio hepático em glucose

d)   a glucose formada a partir dos ácidos gordos só pode deixar o fígado se a glucose-6-fosfatase estiver presente.

e)   a glicólise não pode ocorrer se a fosforilase fôr deficiente.

 

183.   Na gluconeogénese, a formação de fosfoenolpiruvato a partir de piruvato exige quais das seguintes enzimas?

1. piruvato carboxilase

2. piruvato desidrogenase

3. fosfoenolpiruvato carboxicinase

4. glucose-6-fosfato desidrogenase

a)   1, 2 e 3 estão correctas.

b)   1 e 3 estão correctas.

c)   2 e 4 estão correctas.

d)   Só a afirmação 4 está correcta.

e)   TODAS são correctas, ou TODAS são incorrectas.

 

184.   A gluconeogénese a partir do glicerol:

1. ocorre no fígado.   2. requer a formação de fosfoenolpiruvato.   3. requer uma enzima para fosforilar o glicerol. 4. requer fosfofrutocinase activa.

a)   1, 2 e 3 estão correctas.

b)   1 e 3 estão correctas.

c)   2 e 4 estão correctas.

d)   Só a afirmação 4 está correcta.

e)   TODAS são correctas, ou TODAS são incorrectas.

 

185.   No ciclo do lactato, o sangue transporta átomos de carbono para o fígado sob a forma de lactato, e devolve-os ao tecido muscular sob a forma de

a)   glucose.

b)   piruvato.

c)   alanina.

d)   corpos cetónicos.

 

186.   Todos os compostos seguintes estimulam a gluconeogénese EXCEPTO

a)   L-alanina

b)   ATP

c)   citrato

d)   acetil-CoA

e)   frutose-2,6-bisfosfato

 

187.    A função principal desta via é a manutenção de um adequado nível de glucose no sangue.

a)   Ciclo de Krebs

b)   gluconeogénese cardíaca

c)   Via das pentoses-fosfato

d)   Glicogenólise hepática

e)   Síntese muscular de glucose-6-fosfato.

 

188.     Os produtos da oxidação de uma mole de glucose 6-fosfato pela primeira parte da via das pentoses fosfato são

a)   uma mole de ribulose 5-fosfato, uma mole de CO2  e duas moles de NADH.

b)   uma mole de ribulose 5-fosfato, uma mole de CO2  e duas moles de NADP.

c)   uma mole de sedoheptulose 7-fosfato , uma mole de CO2  e duas moles de NADPH.

d)   uma mole de ribulose 5-fosfato, uma mole de CO2  e duas moles de NADP H.

e)   uma mole de frutose 6-fosfato e duas moles de NADPH.

 

189.   A síntese do glicogénio

a)   envolve a ligação de glucose através de ligações a 1-4.

b)   produz um longo polímero não ramificado de glucose

c)   só necessita de uma enzima: a glicogénio sintase.

d)   só é importante no fígado.

e)   é estimulada pela ligação de epinefrina aos hepatócitos.

 

190.    A gluconegénese é estimulada por tudo o que se segue EXCEPTO

a)   ATP

b)   Citrato

c)   Acetil CoA

d)   Alanina

e)   AMP

 

191.   A via das pentose fosfato é uma fonte importante de:

1. NADPH

2. ATP

3. Ribose 5-fosfato

4. Glucose 6-fosfato

a)   1, 2 e 3 estão correctas.

b)   1 e 3 estão correctas.

c)   2 e 4 estão correctas.

d)   Só a afirmação 4 está correcta.

e)   TODAS são correctas, ou TODAS são incorrectas.

 

192.   A síntese de novo de glicogénio ocorre utilizando como “primer”…

a)   Moléculas de glicogénio pré-existentes

b)   Lactose

c)   Glicogenina glicosilada

d)   glucose livre.

 

193.   O principal tecido envolvido na gluconeogénese para fornecer glucose para a síntese do glicogénio muscular após exercício prolongado é:

a)   músculo esquelético.

b)   cérebro.

c)   rim.

d)   músculo cardíaco.

e)   fígado.

 

194.   Nos primeiros momentos de um exercício muito intenso a maior parte da energia que o músculo necessita provém:

a)   da creatina

b)   da glicólise

c)   da fermentação do piruvato a lactato

d)   da degradação do glicogénio

 

195.    O dador imediato de glucose para a síntese do glicogénio é

a)   Glucose

b)   Glucose-1-fosfato

c)   Glucose-6-fosfato

d)   UDP-glucose

e)   Manose

 

196.    Uma deficiência hereditária da glucose 6-fosfato desidrogenase nos eritrócitos é prejudicial porque provoca:

1. diminuição do nível de NADPH .

2. diminuição do nível de glutationa reduzida.

3. aumento da oxidação das membranas.

4. aumento do consume de oxigénio pelas mitocôndrias.

a)   1, 2 e 3 estão correctas.

b)   1 e 3 estão correctas.

c)   2 e 4 estão correctas.

d)   Só a afirmação 4 está correcta.

e)   TODAS são correctas, ou TODAS são incorrectas.

 

197.    Uma fonte importante do NADPH necessário para a síntese do colesterol é a reacção da conversão de

a)   acetil-CoA em malonil-CoA

b)   citrato em acetil-CoA e oxaloacetato.

c)   glucose 6-fosfato em 6-fosfogluconato.

d)   oxaloacetato em malato.

e)   ribulose 5-fosfato em ribose 5-fosfato.

 

198.   A enzima que catalisa aformação de malonil-CoA a partir de acetil-CoA utiliza

a)   retinal.

b)   biotina.

c)   cobalamina.

d)   riboflavina.

e)   tiamina.

 

199.   Qual dos seguintes não é um intermediário ou um produto da via das pentoses fosfato?

a)   NADPH

b)   CO2

c)   ribose-5-fosfato

d)   NADH

e)   frutose-6-fosfato

 

200.   Numa célula eucariótica a enzima responsável pela activação dos ácidos gordos encontra-se:

a)   na membrana interna da mitocôndria.

b)   no citosol.

c)   na matriz mitocondrial

d)   no espaço intermembranar

201.   O ácido linoleico (18:2, com ligações duplas nas posições 9 e 12) é um ácido gordo essencial porque:

a)   não faz parte da composição de triacilglicéridos

b)   os mamíferos não conseguem sintetizar ácidos gordos de 18 carbonos com ligações duplas simultaneamente nas posições 9 e 12

c)   a sintase dos ácidos gordos só consegue sintetizar ácidos gordos com 16 carbonos

d)   as quantidades de ácido linoleico que o organismo consegue sintetizar são insuficientes para as suas necessidades

 

202.    O ácido linoleico:

1. tem 18 carbonos.   2. tem 2 ligações duplas.   3. é um ácido gordo essencial. 4. não possui ligações duplas a menos de 9 carbonos da sua extremidade metílica.

a)   1, 2 e 3 estão correctas.

b)   1 e 3 estão correctas.

c)   2 e 4 estão correctas.

d)   Só a afirmação 4 está correcta.

e)   TODAS são correctas, ou TODAS são incorrectas.

 

203.    Os corpos cetónicos circulam na corrente sanguínea ...

a)   como moléculas solúveis em água

b)   associados à superfície de lipoproteínas plasmáticas.

c)   ligados não-covalentemente à albumina.

d)   esterificados à carnitina.

e)   esterificados à coenzima A

 

204.   O ácido linoleico é essencial para a dieta humana porque o nosso organismo

a)   não consegue elongar ácidos gordos para além de 18 carbono.

b)   não consegue sintetizar ácidos gordos com mais do que uma ligação dupla.

c)   não possui uma Δ12-desaturase.

d)   não possui uma Δ15-desaturase.

e)   não possui Δ12- nem Δ15-desaturases.

 

205.   O ácido linolénico é essencial para a dieta humana porque o nosso organismo

a)   não consegue elongar ácidos gordos para além de 18 carbono.

b)   não consegue sintetizar ácidos gordos com mais do que uma ligação dupla.

c)   não possui uma Δ12-desaturase.

d)   não possui uma Δ15-desaturase.

e)   não possui Δ12- nem Δ15-desaturases.

 

206.   _________ controla a disponibilidade de substrato para a β-oxidação

a)   Acetil-CoA carboxilase

b)   Lipase das lipoproteínas

c)   triacilglicerol lipase sensível às hormonas

d)   3-Hidroxi--metiglutaril-CoA reductase

e)   Palmitoil-CoA-carnitine aciltransferase

 

207.   _______ utiliza como substrato uma fonte de lípidos presente no plasma.

a)   Acetil-CoA carboxilase

b)   Lipase das lipoproteínas

c)   triacilglicerol lipase sensível às hormonas

d)   3-Hidroxi-3-metilglutaril-CoA reductase

e)   Palmitoil-CoA-carnitine acyltransferase

 

208.   _______ é alvo de acções farmacológicas para diminuir os níveis de colesterol circulante

a)   Acetil-CoA carboxilase

b)   Lipase das lipoproteínas

c)   triacilglicerol lipase sensível às hormonas

d)   3-Hidroxi-3-metilglutaril-CoA reductase

e)   Palmitoil-CoA-carnitine acyltransferase

209.   _______ é activada quando a razão [insulin]/[glucagon] é baixa.

a)   Acetil-CoA carboxilase

b)   Lipase das lipoproteínas

c)   triacilglicerol lipase sensível às hormonas

d)   3-Hidroxi-3-metilglutaril-CoA reductase

e)   Palmitoil-CoA-carnitine acyltransferase

 

210.   _________ é activada por citrato.

a)   Acetil-CoA carboxilase

b)   Lipase das lipoproteínas

c)   triacilglicerol lipase sensível às hormonas

d)   3-Hidroxi-3-metilglutaril-CoA reductase

e)   Palmitoil-CoA-carnitina aciltransferase

 

211.   Uma embalagem de pão diz que o produto contém "propionato para aumentar a conservação." A presença deste aditivo não nos preocupa, porque pode ser convertido em succinil-CoA através de reacções em que participam as coenzimas derivadas de todas as vitaminas seguintes EXCEPTO:

a)   ácido pantoténico.

b)   biotina.

c)   ácido fólico.

d)   vitamina B12.

 

212.   Os passos de oxidação e hidratação da β-oxidação são quimicamente semelhantes ao observados em parte de:

a)   conversão  de acetil-CoA to mevalonato.

b)   gluconeogénese.

c)   glicólise.

d)   via das pentoses fosfato.

e)   ciclo de Krebs.

 

213.    A formação de um éster de carnitina e ácido gordo

a)   é necessário para o reconhecimento por parte uma proteína transportador membranar.

b)   é um passo na degradação de todos os  ácidos gordos pela β-oxidação.

c)   antecede a transferência do ácido gordo para um grupo hidroxilo do glicerol.

d)   produz um intermediário necessário para a activação de um ácido gordo a um tioéster ligado à coenzima A.

 

214.   As enzimas responsáveis pelo ciclo da ureia encontram-se:

a)   na membrana interna das mitocôndrias do músculo.

b)   no citosol e na matriz mitocondrial das céluals musculares.

c)   no citosol e na matriz mitocondrial das células hepáticas.

d)   no citosol e na matriz mitocondrial das células renais.

e)   no citosol das céluals musculares

 

215.   As transaminases transformam aminoácidos em:

a)   ácidos gordos

b)   a-cetoácidos

c)   ácido úrico

d)   ureia

e)   amoníaco

 

216.   O ciclo da ureia serve para:

a)   produzir energia

b)   sintetizar proteínas a partir de aminoácidos

c)   eliminar azoto sob formas menos tóxicas

d)   oxidar NADH a NAD+

 

217.   Quais dos seguintes intermediários podem ser produzidos a partir de um aminoácido por acção de uma aminotransferase?

1. α cetoglutarato.   2. oxaloacetato.   3. piruvato.   4. succinato.

 

a)   1, 2 e 3 estão correctas.

b)   1 e 3 estão correctas.

c)   2 e 4 estão correctas.

d)   Só a afirmação 4 está correcta.

e)   TODAS são correctas, ou TODAS são incorrectas.

 

218.    Na conversão do grupo amina de varios aminoácidos em ureia

1. os grupos amina entram no ciclo da ureia sob a forma de carbamoil-fosfato e aspartato.   2.produz-se fumarato.   3.Gastam-se 3 moléculas de ATP (4 ligações altamente energéticas) por cada molécula de ureia sintetizada.   4. ocorre transaminação e desaminação oxidativa.

 

a)   1, 2 e 3 estão correctas.

b)   1 e 3 estão correctas.

c)   2 e 4 estão correctas.

d)   Só a afirmação 4 está correcta.

e)   TODAS são correctas, ou TODAS são incorrectas.

 

219.   A carbamoil fosfato sintetase mitocondrial que catalisa o primeiro passo da síntese da ureia requer como cofactor

a)   ácido ascórbico

b)   ácido N-acetil neuramínico

c)   ácido lipóico

d)   N-acetilglutamato

e)   piridoxal fosfato

 

220.   Na conversão do grupo amina de varios aminoácidos em ureia

1. ocorre transaminação e desaminação oxidativa.   2.produz-se fumarato.  3.Gastam-se 3 moléculas de ATP (4 ligações altamente energéticas) por cada molécula de ureia sintetizada.  4. os grupos amina entram no ciclo da ureia sob a forma de carbamoil-fosfato e glutamato.

a)   1, 2 e 3 estão correctas.

b)   1 e 3 estão correctas.

c)   2 e 4 estão correctas.

d)   Só a afirmação 4 está correcta.

e)   TODAS são correctas, ou TODAS são incorrectas.

 

221.   Um cofactor essencial para as transaminases (amino transferases) é:

a)   glutationa.

b)   ácido fólico

c)   NADH.

d)   ácido N-aceti glutâmico

e)   piridoxal fosfato.

 

222.    Um paciente encontra-se em balaço negativo de azoto sempre que

a)   a quantidade de azoto ingerida iguala a quantidade de azoto excretada na urina, fezes e suor.

b)   a quantidade de azoto excretada na urina, fezes e suor é menor do que a quantidade de azoto ingerida.

c)   a quantidade de azoto excretada na urina, fezes e suor é maior do que a quantidade de azoto ingerida.

d)   o paciente é alimentado por via parentérica, e não oral.

 

223.   A avidina é uma proteína presente na clara do ovo com grande afinidade de ligação à biotina e que inibe muito especificamente as enzimas que contêm biotina. Se se adicionar biotina a um extracto celular, que reacções ou vias metabólicas serão afectadas?

a)   degradação de glucose a piruvato

b)   degradação de ácidos gordos de cadeia par

c)   conversão de piruvato em glucose

d)   conversão de glucose em ribose-5-P

 

224.   A avidina é uma proteína presente na clara do ovo com grande afinidade de ligação à biotina e que inibe muito especificamente as enzimas que contêm biotina. Se se adicionar biotina a um extracto celular, que reacções ou vias metabólicas serão afectadas?

a)   degradação de glucose a piruvato

b)   degradação de ácidos gordos de cadeia ímpar

c)   conversão de oxaloacetato em glucose

d)   conversão de glucose em ribose-5-P

 

225.   A avidina é uma proteína presente na clara do ovo com grande afinidade de ligação à biotina e que inibe muito especificamente as enzimas que contêm biotina. Se se adicionar biotina a um extracto celular, que reacções ou vias metabólocas serão inibidas?

a)   síntese de ácidos gordos

b)   degradação de glucose a piruvato

c)   conversão de glucose em ribose-5-P

d)   degradação de ácidos gordos de cadeia par

 

226.   As principais fontes de energia para o anabolismo são:

a)   ATP e NADPH.

b)   ATP e NADP+.

c)   ATP e NADH.

d)   O2 e NADPH.

e)   ADP e NADPH.

 

227.   Que via metabólica é comum à degradação da glucose em condições aeróbicas e anaeróbicas?

a)   ciclo de Krebs

b)   Cadeia transportadora de electrões

c)   glicólise

d)   oxidação de piruvato a CO2

 

228.   Que via metabólica é comum ao metabolismo da glucose e dos ácidos gordos?

a)   ciclo de Krebs

b)   gluconeogénese

c)   glicólise

d)   oxidação de piruvato a CO2

 

229.   Durante um ataque cardíaco, o fluxo de sangue para o coração é drasticamente diminuído pelo bloqueio de uma artéria coronária. Que mudanças no metabolismo do coração esperaria observar?

a)   diminuição da fosforilação oxidativa nas mitocôndrias

b)   estimulação da taxa de produção de lactato

c)   aumento do consumo de glucose pelo coração

d)   todas as opções são verdadeiras

 

230.   A fosforilação do ADP é uma reacção:

a)   de decomposição

b)   de hidrólise

c)   endergónica

d)   exergónica

 

231.   Das reacções seguintes, a mais endergónica é:

a)   Descarboxilação oxidativa de piruvato a CO2

b)   Formação de carbamoil-fosfato a partir de amoníaco e bicarbonato

c)   Síntese de glucose a partir de duas moléculas de piruvato

d)   Conversão de succinil-CoA em succinato

 

232.   Das reacções seguintes, a mais endergónica é:

a)   carboxilação de piruvato a oxaloacetato

b)   Adição de uma molécula de glucose a uma cadeia de glicogénio

c)   Fosforilação de glucose em glucose-6-P

d)   Todas estas reacções têm o mesmo custo (1 ATP)

 

visitas desde 4 de Janeiro de 2002